فهرست مطالب
Toggleدر هندسه، قطر به پارهخطی گفته میشود که دو رأس غیرمجاور یک چندضلعی یا چندوجهی را به هم وصل میکند. ویژگی خاص قطرها در برخی از اشکال هندسی نظیر لوزی باعث شده است که در محاسبه محیط و مساحت بسیار مورد استفاده قرار گیرند.
در این مطلب مدرسه سلام میخواهیم شما را با قطر لوزی و ویژگیهای آن آشنا کنیم. برای همین ابتدا به بیان خصوصیات قطر این شکل هندسی میپردازیم. سپس، فرمول محاسبه قطر لوزی و کاربرد آن در محاسبه محیط و مساحت این چهارضلعی را توضیح میدهیم و در پایان نیز چند مثال در این زمینه حل میکنیم.
لوزی چیست؟
لوزی یک چهارضلعی با چهار ضلع مساوی است که ظاهری شبیه به متوازی الاضلاع و مربع دارد. ازآنجا که در یک لوزی همه اضلاع با هم برابرند و دوبهدو موازی هستند، زوایای مقابل اندازههای یکسانی دارند. در لوزی هر دو زاویه مجاور مکمل یکدیگر هستند و ازاینرو، مجموعشان برابر با ۱۸۰ درجه است.

اولین نفری باشید که از اخبار و اطلاعیههای مرتبط با پایه تحصیلیتان باخبر میشود!
قطر لوزی چیست؟
قطر لوزی پارهخط مستقیمی است که دو رأس مقابل آن را به هم متصل میکند. با توجه به تعداد رأسهای لوزی، این چهارضلعی مانند سایر چهارضلعیها تنها ۲ قطر دارد. قطرهای لوزی چند ویژگی منحصربهفرد دارند که دانستن آنها در تشخیص لوزی بودن یک شکل و همچنین هنگام محاسبه محیط و مساحت بسیار به کارتان میآید. در ادامه، به این ویژگیها اشاره میکنیم.
پیشنهاد مطالعه: قطر چیست؟

ویژگی های قطر لوزی
خصوصیات ۲ قطر لوزی به شرح زیر است:
• طول قطرهای لوزی لزوماً یکسان نیست. قطری که طول آن بزرگتر است، قطر بزرگ و قطر دیگر که طول کمتری دارد قطر کوچک نامیده میشود.
• قطر های لوزی بر هم عمودند و در نقطه تلاقی با هم زاویه ۹۰ درجه میسازند.
• در یک لوزی قطرها عمودمنصف یکدیگرند؛ یعنی علاوهبر اینکه در نقطه برخورد بر هم عمود هستند، همدیگر را نیز نصف میکنند.
• قطرهای لوزی نیمساز زاویهها نیز محسوب میشوند.
• دو قطر، لوزی را به چهار مثلث قائم الزاویه مشابه و یکسان تقسیم میکنند.
• در یک لوزی، قطرها بهعنوان خط تقارن عمل میکنند.
نکته: در حالت خاص، اگر قطرهای لوزی برابر باشند، لوزی همان مربع خواهد بود.

فرمول قطر لوزی
تا اینجا با قطر لوزی و خصوصیات آن آشنا شدیم. حال این سؤال پیش میآید که برای محاسبه طول قطر بزرگ و کوچک لوزی باید از چه فرمولی استفاده کنیم. طبق ویژگیهایی که برای قطرهای لوزی بیان کردیم، برای تعیین اندازه آنها میتوان روشهای گوناگونی را به کار برد. استفاده از فرمول محیط و مساحت لوزی و یا قضیه فیثاغورس ازجمله این روشها هستند.
محاسبه قطر لوزی با قضیه فیثاغورس
میدانیم که در لوزی قطرها بر هم عمودند و چهار ضلع برابر هستند همچنین میدانیم که قطرها لوزی را به چهار مثلث قائمالزاویه برابر قسمت میکنند. این ویژگی به ما این امکان را میدهد که در برخی مسائل از قضیه فیثاغورس برای تعیین طول قطرها استفاده کنیم. با یک مثال این روش را توضیح خواهیم داد.
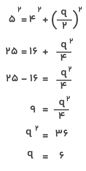
مثال: در شکل زیر طول قطر کوچک را بیابید.

جواب: در این شکل، ضلع لوزی همان وتر مثلث قائمالزاویه است. پس در اینجا میتوانیم از قضیه فیثاغورس استفاده کنیم. طبق این قضیه مجموع مربعات نصف قطرها برابر با مربع ضلع لوزی است. اگر طول قطر کوچک را q در نظر بگیریم، نصف آن برابر با خواهد بود. پس طبق قضیه فیثاغورس خواهیم داشت:

بنابراین، طول قطر کوچک ۶ سانتیمتر خواهد بود.
محاسبه قطر لوزی با محیط
محیط لوزی از مجموع طول اضلاع آن به دست میآید. ازآنجا که هر چهار ضلع لوزی با هم مساوی هستند، مقدار محیط لوزی مساوی با چهار برابر اندازه یک ضلع آن خواهد بود. برای اینکه یاد بگیرید چگونه محیط لوزی در محاسبه طول قطرهایش به شما کمک میکند، یک مثال حل میکنیم.
مثال: در شکل زیر یک لوزی داریم که قطر کوچک آن ۱۲ سانتیمتر است. اگر محیط این لوزی ۴۰ سانتیمتر باشد، طول قطر بزرگ چقدر خواهد بود؟

جواب: ابتدا با کمک محیط طول ضلع لوزی را به دست میآوریم. داریم:

طول ضلع لوزی یا همان وتر مثلث قائمالزاویه مساوی ۱۰ سانتیمتر است. طول قطر کوچک و درنتیجه نصف آن (۶ سانتیمتر) را نیز داریم. پس بهراحتی میتوانیم طول قطر بزرگ را هم به دست آوریم. کافیست بهصورت زیر از قضیه فیثاغورس استفاده کنیم:

X نصف قطر بزرگ است. پس اندازه قطر بزرگ برابر است با


محاسبه قطر لوزی با مساحت
مساحت لوزی از رابطه زیر به دست میآید:

این رابطه نشان میدهد که مساحت لوزی تنها به اندازه قطرها وابسته است. بنابراین، اگر مساحت لوزی و اندازه یکی از قطرها را داشته باشیم، میتوانیم اندازه قطر دیگر را بهراحتی محاسبه کنیم. به مثالی از نحوه محاسبه قطر لوزی کلاس پنجم که در ادامه آوردهایم توجه کنید.
مثال: در شکل زیر یک لوزی را مشاهده میکنید که نصف قطر بزرگ آن ۱۴ سانتیمتر و مساحتش ۲۲۴ سانتیمتر مربع است. طول قطر کوچک این لوزی را تعیین کنید.

جواب: در این مثال، مساحت لوزی و نصف یکی از قطرها معلوم است. طبق این شکل، طول قطر بزرگ برابر با مقدار زیر است:

اگر این مقادیر را در فرمول مساحت جایگذاری کنیم، اندازه قطر کوچک به دست میآید. داریم:

سخن پایانی
شناخت مفهوم قطر درک بصری سایر مفاهیم هندسی اشکال را تسهیل میکند. توصیه ما این است اگر قصد آموزش قطر لوزی کلاس سوم ها را دارید، میتوانید از مفهوم خط تقارن استفاده کنید. مثلاً با دادن کاغذهای لوزیشکل از آنها بخواهید کاغذها را از گوشهها تا کنند.
همانطور که در این مطلب نیز آموختیم، طول قطر لوزی قابل محاسبه است و بسته به دادههای مسئله روشهای گوناگونی را میتوان برای تعیین آن به کار برد. حل مثال در این زمینه میتواند کمککننده باشد. در ادامه به چند سؤال پرتکرار درمورد قطر لوزی پاسخ میدهیم.
سؤالات متداول
- لوزی چند قطر دارد ؟
لوزی تنها ۲ قطر دارد. - قطر لوزی چند است ؟
قطر لوزی اندازه مشخصی ندارد و با توجه به اطلاعات مسئله میتواند اندازههای متفاوتی برای آن به دست آید. - آیا قطر های لوزی با هم برابرند ؟
قطرهای لوزی لزرماْ با هم برابر نیستند اما اگر برابر باشند، آنگاه لوزی با یک مربع هیچ تفاوتی نخواهد داشت. - قطر بزرگ لوزی کدام است ؟
قطر بزرگ لوزی قطری است که طول آن بزرگتر است.